Options d’inscription

Hello,

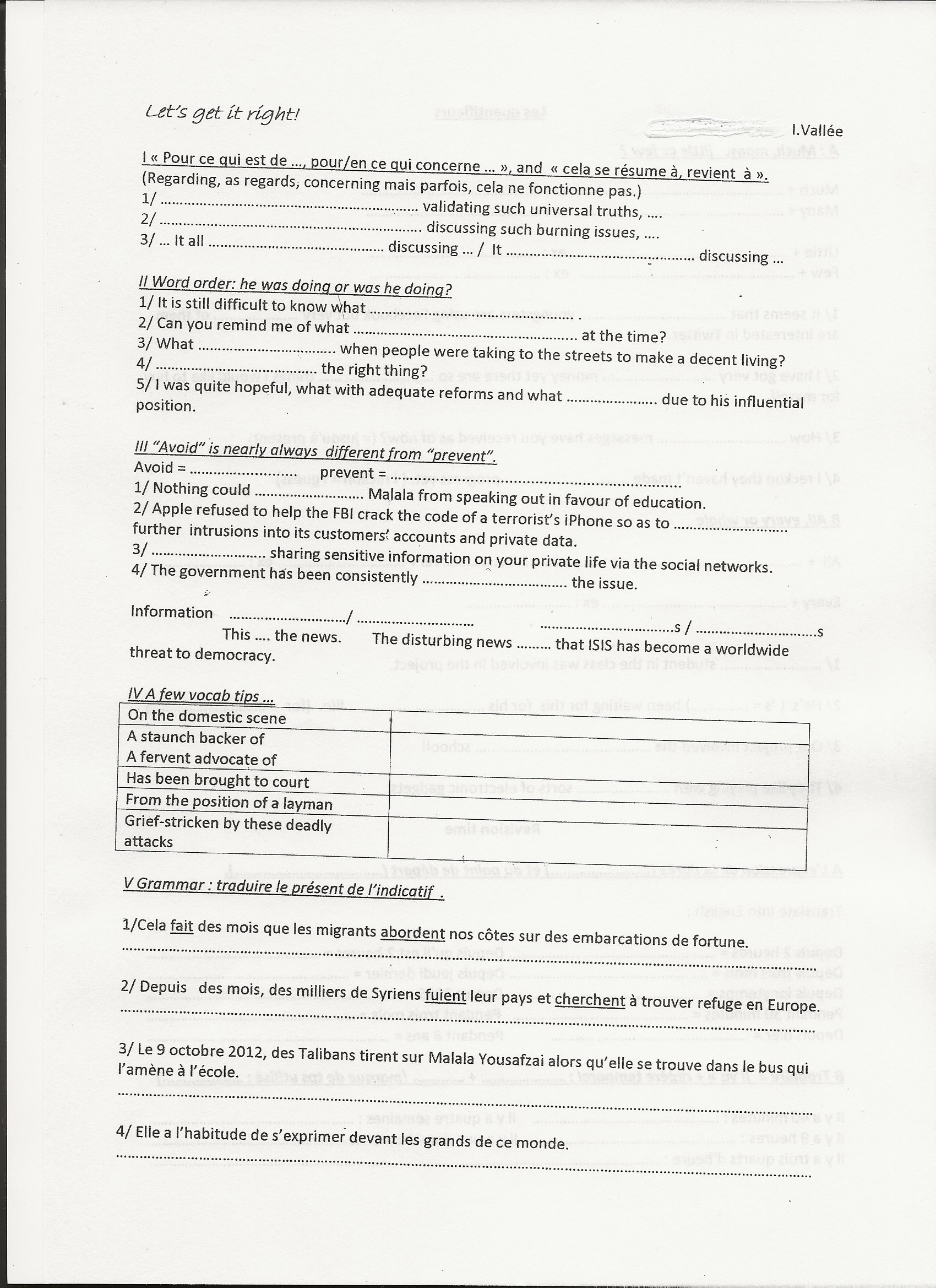
After correcting the questions on Th #bringbackourgirls text, today we would have worked on the "Let's get it right!" document attached below.

Next, I would have handed in a text on Hong Kong, asking you to get ready to answer questions by next Monday. You will find it here : https://www.bbc.com/news/world-asia-china-27921954

I would finally have sorted out what questions you could be asked during a job interview and asked you to focus on being positive as you answer.

The idea is to get ready to act out job interviews by next Friday.

Good luck for your work.

See you on Monday.

I.Vallée


Les visiteurs anonymes ne peuvent pas accéder à ce cours. Veuillez vous connecter.